
Copright ©2024 by Jeffrey L. Thomas
jltbalt1@verizon.net

My great-great grandfather John J. Thomas was born May 8, 1823 in Llanelly Parish, Breconshire, south Wales. He was one of five known children of John and Mary Thomas of Brynmawr. In English, Brynmawr translates into "big hill," an appropriate name for a town that rises some 1,200 feet above sea level. John J. Thomas was born at a time when Brynmawr was just a small collection of farms and cottages, however, during his childhood, he and his family witnessed a population explosion, as the iron and coal industries transformed the region into an industrial giant. Below: a view of modern Brynmawr from near Well street, with the hills beyond.
Photograph copyright 2004 by Jeffrey L. Thomas.
In her book, Brynmawr: A Study of a Distressed Area, Allenson & Co., London, 1934, Hilda Jennings provides an in depth examination of Brynmawr's social and economic history. Jennings analyzes the development of the town using a combination of standard texts and personal memories from some of the town's older residents, who at the time were only a generation or two removed from Brynmawr's early 19th-century roots. The book gives readers a good idea of what life must have been like in Brynmawr for the Thomas and countless other families employed in the iron and coal industries.
"Brynmawr stands at the extreme northern edge of the South Wales Coalfield on the border of Brecknockshire and Monmouthshire. A few miles to the north lie the fertile valleys of the Usk, while in the more immediate vicinity coal and iron outcrop on the mountain side. Up to 1800 it was practically uninhabited. The great hill fringed on one side by the long line of willows gave it its early name of Waun-y-Helegyn, or the field of the willows, remained for centuries untenanted except by the inhabitants of two or three farm-houses and shepherd's cottages. The turnpike road running from Abergavenny to Merthyr passed through the little village of Clydach two miles away through the turnpike gate up the steep rock to the bleak upland plateau, which is now Brynmawr, and where stage and later a coaching-inn provided a change of horses.""The new settlement, in which lived some of the workers at the iron works and the men, women and children who were engaged in the extraction of iron-ore, were thus ringed round by a mile or two of uninhabited ground which divided it from the earlier settlements of Clydach, Beaufort and Nantyglo. At first the focus of social interests was in these settlements. A newcomer to Brynmawr in 1820 might have found work locally in the iron-ore gathering grounds, or have walked daily to one of the Iron Works."
"Iron-ore was the first mineral, the value of which was recognized in the district, and the Clydach Valley leading up to Brynmawr is still made beautiful by the thick line of beech trees planted to serve as charcoal for the Iron Works. With the discovery of the use of coal for smelting and its general adoption towards the end of the eighteenth century came the opening out of small coal levels by the ironmasters The coal produced was both used in the iron works and taken on the backs of mules and later by canal for sale as house-coal in Brecon and Abergavenny."
"Many workers at the Clydach, Nantyglo and Beaufort Iron Works made their homes at Brynmawr, but the industry of the town itself was the gathering of the raw materials, iron-ore, blackband and coal. Clydach Dingle on the northern outskirts of the town was the first scene of this industry. Here the earth was "patched" or its surface removed, in order to reach the ironstone strata. Iron-ore and blackband was collected and stacked in great heaps which were burned to remove the grossest impurities before the minerals were sent to the furnaces. Streams were plentiful and sometimes the ironstone was scoured by rushing water."
"At the same time levels were driven into the hillside and the hill gradually became honeycombed with subterranean passages. At first most of the work was above ground, and the little community of workers must have been well inured to the hardships of climate, torrential rains, piercing winds and falls of snow, as well as to the heavy manual labour. From Clydach and Llangattock would come the sound of blasting of limestone, while at night not only the fires of the burning stacks of mineral along the outcrop, but the greater glow from the furnaces would light up the sky."
Below: View of the "The Patches" above the town. Some of Brynmawr's earliest mining activity was concentrated here in the hills behind the town, where the earth was "patched" (the top layer of soil removed), and shafts were dug into the sides of the hills to extract coal and iron ore near the surface. Today this area stands as a stark reminder of Brynmawr's industrial past. Photograph copyright 2004 by Jeffrey L. Thomas.
Below: Three miners from Nantyglo pose on the way home from work, from the book, Old Brynmawr, Nantyglo & Blaina in Photographs, Stewart Williams, Publishers, Barry, South Glamorgan, 1980.
"The first workers at the Iron Works were drawn from the surrounding agricultural districts and were of Welsh nationality. The distress which was present among agricultural labourers in Breconshire and Monmouthshire between 1795 and 1801 made them glad to exchange their average weekly wage of 6s. to 9s. a week for the 2s. 6d. or 3s. a day which they could earn at mining collieries or in line kilns. Something of their mode of life, interests and characteristics is revealed in the accounts of Monmouthshire and Breconshire written by Archdeacon Coxe and Theophilus Jones in the early years of the nineteenth century. A simple diet, to a great extent produced by their own exertions, pride in the appearance of hose and garden, a love of poetry, story and music, and a cheerful sociability, are portrayed by both writers. The Welsh language was predominant and Archdeacon Coxe says that when he visited Blaina, two miles from the site of Brynmawr, the English language was so little known that without assistance the Parish Clerk could scarcely understand or answer his questions intelligibly."
Unlike the industrial settlements of Nantyglo, Beaufort, Blaenavon, and to a lesser degree Clydach, where the iron works were actually situated, the dormitory town of Brynmawr owed little in the way of building enterprise to the great employers. Individual workers built their own cottages here and there along the tramroads in the very early days, and shortly afterwards tradesmen who, like the workers, were attracted by the central position of the town, began to build courts and rows of houses as a commercial speculation. Later still, thrifty workers, who built their own cottages, invested what was left of their savings in the building of an additional cottage which was inhabited by a married member of their family or let to a fellow worker, and speculative builders put up rows of houses. Thus the tied cottage belonging to the employers has never been a feature of Brynmawr life, and in consequence of this labour has been mobile and workers have been able to move from one colliery to another within traveling distance from Brynmawr in the search for work in bad times.
Below: Nineteenth-century Breconshire map showing the location of Brynmawr and the proximity of the ironworks at Clydach, Tredegar and Blaenafon.
Our first glimpse of the family is provided by the 1841 census of Britain, which tells us that John and his family were living on Somerset Street in Brynmawr, as follows:
Breconshire, Crickhowell District, Parish of Llanelly, Village of Brynmawr, Somerset Street
Name Age Occupation Born in Breconshire? John Thomas 45 Collier Yes Mary Thomas 45 Yes John Thomas 20 Collier Yes Elizabeth Thomas 15 Yes Thomas Thomas 10 Yes Charoltte Thomas 5 Yes Jeremiah Thomas 2 Yes Below: modern view of Somerset Street in Brynmawr. The Thomas family is listed as living here by the 1841 census.
Photograph copyright 2004 by Jeffrey L. Thomas.
The 1841 census is the first and last time we see the complete family of John and Mary Thomas. The returns indicate that the Thomas family was living in a single family home on Somerset Street, that John Thomas Sr. and his son John were working as (coal) miners (colliers), and that all members of the family were born in Breconshire. As colliers, it is likely that John and his father were mining coal for use by the numerous iron furnaces in the region. The total population of Brynmawr in 1841 was 2,603. Of that number, only 1,054 persons (40%) were identified as being born in Breconshire, while 60% of the town's inhabitants were listed as being born outside the county or outside of England. The returns show that most of the male workers of Brynmawr were employed by the coal mining industry, 384 individuals in all, including 233 miners and mine laborers, and 151 colliers. The iron industry was next with a total of 80 workers.
Below: 19th century map of central Brynmawr showing the location of Somerset Street.
We get some sense of the hazards of mining coal in Wales in the early 19th century from the book, "and They Worked us to Death, Volume 1" Casualties of the Mines, Who they were and Where they died, by Ben Fieldhouse and Jackie Dunn, Gwent Family History Society, 3rd Edition, 1999. The introduction to this fascinating study explains some of the perils faced by Welsh miners:
From about 1790 the steam raising properties of coal was making it a very desirable commodity. The demand curve for it was soon to become exponential and the thin broken seams of South Wales that lay at inconvenient depths were being pressed to yield their harvest. Coal in inseparable from methane, firedamp to those who braved it, the gas being a product of rotting vegetation for which latter the word coal is a synonym.It is countered by ventilation. All of the atmosphere within a mine being drawn inexorably up the shaft by a powerful extractor fan, this action inducing the clean sweet air on the surface to take its place via another shaft. Thus every deep mine needs two such air conduits. The ventilation of a mine is beset with difficulties. The complexity of its tunnels might outgrow the capacity of the fan to supply healthy air. The incoming breeze will be diverted into needed channels by the use of airtight doors that might be worked in pairs that form a lock. These are the doors that before 1842 were guarded by infants (children), and they would be positioned to share out the available draught as the need for it varied.
The steam pressure driving the fan might falter, the doors might leak heavily or they could become damaged by the constant ground movement. Falls of roof, if not cleared immediately, would block air passages, short circuiting possibly sensitive areas of the pit. These movements too could release gas that hitherto had been trapped harmlessly, (but under pressure), in nearby voids, and all or any of these baneful influences could be present in ever changing degrees.
Firedamp has a low flash-point. It needs only a thin spark for ignition. Fed then by the oxygen being drawn in by the fan, the temperature will soon reach blow-torch proportions. When the searing blast had passed then came the aftermath, only fractionally less devastating. An inevitable product of the combustion was the choke-damp that stifled those who took it into their lungs.
Below: Welsh miners from the Ebbw Vale, Wales.
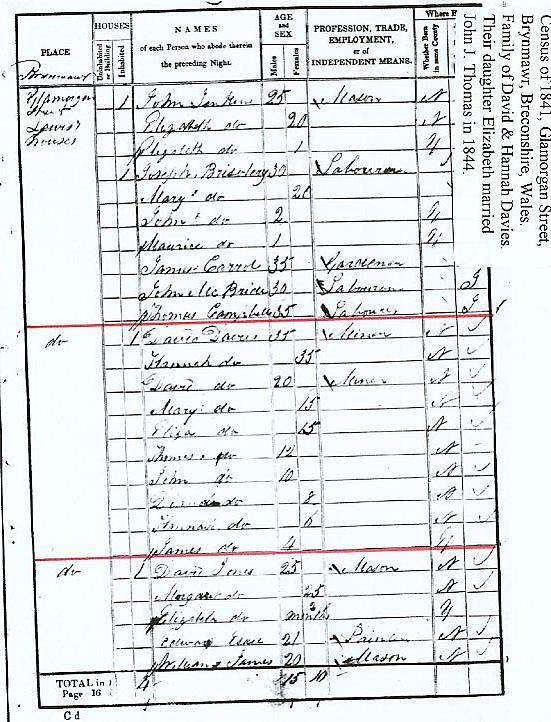
Elizabeth Davis was the daughter of David and Hannah Davies and her obituary says that she was born in Brynmawr in 1827. The census returns of 1851 and 1861 indicate that Elizabeth's father was born in Llangeler in Carmarthenshire, while her mother was from the industrial town of Merthyr Tydfil in Glamorganshire. David Davies was an iron ore miner, and was likely among the thousands of his fellow countrymen who flocked to the Ebbw Vale in the early 19th century to take part in the region's booming industrial revolution. Sometime between 1835 and 1837, the Davies family moved to Glamorgan Street in Brynmawr, and it is here that we find the family in the 1841 census, as follows:
Brynmawr, Glamorgan Street
Name Age Occupation Born in Breconshire? David Davies 35 Miner No Hannah Davies 35 No David Davies 20 Miner No Mary Davies 15 No Eliza Davies 15 No Thomas Davies 12 No John Davies 10 No Dianah Davies 8 No Hannah Davies 6 No James Davies 4 Yes Three years later, on December 28, 1844, the eighteen year old Elizabeth Davies married John J. Thomas at the parish church in Llanelly. Their marriage ceremony was witnessed by Elizabeth's father David Davies, and Elizabeth Thomas, who was likely John's younger sister. Both John and Elizabeth signed the marriage register by making their mark (X).
Despite its rapid growth, the first parish church in Brynmawr was not built until 1848. Prior to that date, the residents of Brynmawr would have attended either the nearby parish church at Llanelly (below), or the smaller chapels of non-conforming denominations. According to the official guide for Llanelly church:
"The church is dedicated to St. Ellyw, or Elli, a daughter or granddaughter of Brychan, who gave his name to Bryncheiniog (Brecon). By some it is said to be dedicated to St. Elli, a Saint of the 6th century (500-550), the second Abbot of Llancarfan. The ancient churchyard, within the magnificent circle of venerable yews, indicates that it was a sacred spot in pre-Christian times. These yews, which cannot easily be equaled in our country, were probably planted when the present church was built between 1200 and 1250, and are therefore 700 years old."Below: Beautiful Llanelly parish church near Brynmawr. John Thomas and Elizabeth Davis were married here in 1844.
Photograph copyright 2004 by Jeffrey L. Thomas.
Follow this link for a history and description of Llanelly church.
Although we know that John Thomas and Elizabeth Davis were married at the parish church in Llanelly in 1844, we don't know whether or not the Thomas and Davies families belonged to the church, or whether they were members of a non-conforming chapel in Brynmawr. Llanelly's parish registers, while providing a couple of intriguing possibilities, have thus far failed to yield conclusive evidence of the Thomas family, however given the incomplete nature of many Welsh parish registers, the possibility still exists that John and Mary Thomas and their children belonged to the local parish church. It should also be mentioned that the medieval church at Llanelly existed long before non-conformity took root in Wales, and that the first non-conforming chapels in Brynmawr did not appear until the late 1820s and early 1830s.
John and Elizabeth's first child, daughter Elizabeth, was born circa 1847. In the spring of 1848 John, his wife Elizabeth, their baby daughter Elizabeth, along with John's mother Mary, his brothers Thomas and Jeremiah, and sister Charlotte, traveled north to Liverpool, England, where they boarded the ship "Ivanhoe" bound for America. John Sr. did not travel with the family. His absence here, and in the 1850 census is an indication that John Sr. perhaps died prior to the family emigrating to America, or preceded his family to America, but died before the 1850 census was taken.
The Ivanhoe was captained by William Edwards and carried some 388 passengers and crew. The majority of the passengers were Irish and English. John and family were among only 32 Welsh passengers. Like most of their fellow passengers, the Thomas family traveled in steerage class. A variety classes and occupations were represented by those on board. They included, doctor, lawyer, school master, blacksmith, miner, farmer, brick layer, engineer, shoe maker, milliner, lace maker, weaver, hair cutter, printer, cartwright, and missionary. There were ten individuals who traveled as cabin passengers (non-steerage) that were listed as, merchants, gentlemen, and ladies. The ethnic breakdown of the passengers sailing on the Ivanhoe is as follows:
Irish: 174
English: 169
Welsh: 32
Scott: 5
Other: 8
Total: 388
Follow this link for a complete listing of all passengers on the Ivanhoe.
Crossing the Atlantic ocean in the mid-19th century was no easy affair, and we get some idea of what embarking from Liverpool was like in an article found at the "Ship's Lists" web site.
The scene in the Waterloo dock, at Liverpool, where all the American sailing packets are stationed, is at all times a very busy one; but, on the morning of the departure of a large ship, with a full complement of emigrants, it is peculiarly exciting and interesting. The passengers have undergone inspection, and many of them have taken up their quarters on board for twenty-four hours previously, as they are entitled to do by terms of the act of Parliament. Many of them bring, in addition to the boxes and trunks containing their worldly wealth, considerable quantities of provisions, although it must be confessed that the scale fixed by the Government to be supplied to them by the ship is sufficiently liberal to keep in health and comfort all among them, who, in their ordinary course of life, were not accustomed to animal food. The following is the scale, in addition to any provisions, which the passengers may themselves bring:
- 2 and 1/2 lb of Bread or biscuit (not inferior to navy biscuit)
- 1 lb Wheaten Flour
- 5 lb Oatmeal
- 2 lb Rice
- 2 oz Tea
- 1/2 lb Sugar
- 1/2 lb Molasses
per week. To be issued in advance, and not less often than twice a week. Also:- 3 quarts of Water daily. 5 lb of good Potatoes may, at the option of the master, be substituted for 1lb of oatmeal or rice; and in ships sailing from Liverpool, or from Irish of Scottish ports, oatmeal may be substituted, in equal quantities, for the whole or any part of the issues of rice.Vessels carrying as many as 100 passengers must be provided with a seafaring person to act as passenger's cook, and also with a proper cooking apparatus. A convenient place must be set apart on deck for cooking, and a proper supply of fuel shipped for the voyage. The whole to be subject to the approval of the emigration officer.
Below: drawing of the docks at Liverpool, mid 19th-century
Finally, we know that the passenger ship Ivanhoe was one of the so-called "Irish Famine" ships that ferried thousands of Irish families fleeing their country because of the devastating potato famine of the late 1840s. Almost half of the Ivanhoe's passengers were listed as Irish.
Passenger records from the Ivanhoe show that John J. Thomas and his family arrived in New York on May 10th, 1848, two days after John celebrated his 25th birthday. Although the Thomas family first set foot in America in New York, their real destination was the coal-mining district of what would eventually become Hyde Park, and Scranton in Lackawanna County Pennsylvania. However, in the 1840s neither Hyde Park nor Scranton had been incorporated, and Lackawanna County had not yet been formed. Instead the area our Thomas ancestors settled in was known as Providence Township in Luzerne County. As was the case with many Welsh families who immigrated to Scranton, it is likely that either John or Elizabeth, or both, already had family living in the area, or there is little doubt that John had a job already waiting for him upon his arrival in the community.
The reason that thousands of miners and their families left Wales for Pennsylvania in the mid-1800s, is explained by an article found on the Pennsylvania Historical and Museum Commission web site:
The anthracite coalfields of northeastern Pennsylvania became one of the major areas of the later Welsh settlement in the Commonwealth. As early as the 1830s, two Welsh preachers who had come to Carbondale, Pennsylvania, were sent back to Wales by employers to recruit additional miners. From 1840 to 1860, Welsh colliers were sending word home about the wages ($1.00 to $1.50 a day), which were about double what could be earned in Wales. Moreover, a Welsh foreman or mine superintendent could obtain workers for the best jobs simply by writing to his hometown newspaper in Wales. For example, Benjamin Hughes (1824-1900), who served as the general mine superintendent for the Delaware, Lackawanna and Western Coal Company during 1865-1899, was largely responsible for the heavy Welsh settlement of the Hyde Park section of Scranton.Like thousands of his fellow countrymen, John J. Thomas and his family had left their homeland for higher wages and the promise of a better life in America. By the mid-19th century the mining of anthracite coal was becoming big business in eastern Pennsylvania. The rich veins of coal that stretched from Minersville and Pottsville in the southern coal region, to Scranton in the north, created tremendous opportunities for Welsh miners, whose expertise in deep-coal mining was very much in demand by the burgeoning industry. Although the bulk of Welsh immigration to this part of Pennsylvania occurred in the later part of the 19th century, our Thomas ancestors were among an earlier group of immigrants who were mining Pennsylvania anthracite coal before the Civil War. A publication titled, Area History: History of Hyde Park 1852 - 1952: Lackawanna County, PA, provides a brief history of Hyde Park and Scranton at the time of the Thomas family arrival:
The increase in population following the locating of the iron works in Slocum Hollow and the development of the mining industry caused the residents to agitate for the creation of a borough. Providence had been organized in 1849. A borough charter was applied for and granted. The date of the borough's incorporation was May 4, 1852. Scranton was not incorporated as a borough until 1856. In 1866 Hyde Park, Providence and Scranton united to form the City of Scranton. A quasi borough existence, however, was continued by Hyde Park until 1887 to collect the bounty tax.The development of the mining of Anthracite not only made Hyde Park, but Scranton. Today, although the mode of transportation and living has changed with the influx of other industries, mining is still of great importance. Prior to the opening of the steel mills in the Hollow, building of Leggett's Gap (northern division of the D.L.&W) railroad and beginning of mining, Hyde Park was little more than a name.
No section of Scranton has furnished more coal than Hyde Park. Mining was the main industry at the turn of the century and until a few years ago, with 12 or more colleries in operation. Even today with only the Bellvue breaker in operation, Hyde Park would be hard hit without its mining and related industries. Hyde Park is proud of the part mining has played in building up the City of Scranton.
Below: map of the eastern Pennsylvania anthracite region. Scranton is at the top right.
By the time of the 1850 census, John and Elizabeth Thomas had settled in Providence Township, and their next two children had been born. Providence Township was a large community incorporating what would later become the borough of Hyde Park (1852) and the city of Scranton (1856). It is difficult to tell just where John, Elizabeth and family were living in the township, however a clue to the family's whereabouts is provided by the obituary of their son John Jr., (1850-1923), as follows:
"He was born in South Scranton, a son of Mr. and Mrs. John J. Thomas, Sr., and early in life removed with his parents to West Scranton, where for more than a quarter of a century he took a prominent part in the affairs of the then thriving borough of Hyde Park."If the above information is correct, it appears that the family did not immediately settle in Hyde Park, but rather across the river in south Scranton, before moving to Hyde Park shortly after 1850.
Tracing the rest of John's family after the Ivanhoe arrives in America has proved more problematic. While John and Elizabeth apparently immediately located in Scranton, John's mother Mary and brother Jeremiah, are found in the 1850 census of Newcastle Township, near St. Clair in Schuylkill County, Pennsylvania. For years it had been a mystery as to why Mary and Jeremiah came to St. Clair rather than accompanying John and his wife Elizabeth to Scranton. Further research has discovered that Mary had two daughters already living in the St. Clair area, the aforementioned Elizabeth, who married Joseph Hughes in 1846, and Ann who married first John Rosser and second Benjamin Hughes, a man who would go on to become an important official in the D.L. & W. railroad. Like Elizabeth and Ann, Joseph Hughes, John Rosser and Benjamin Hughes were all from Brynmawr. Records for the Old St. Clair cemetery (aka the Welsh Cemetery) indicate that Jeremiah Thomas died 8 Oct 1865, at age 29, and was buried in the cemetery. Although her burial is not recorded, it is certainly possible that Mary Thomas is buried here as well.
Follow this link to view photographs of the Old Welsh Cemetery in St. Clair.
John J. Thomas and Elizabeth Davies raised a total of eleven children in Scranton, as follows:
Elizabeth Thomas (ca. 1847-?) was John and Elizabeth's first child and the only one born in Wales. She is present with her mother and father on board the Ivanhoe, (age 1), and we see her again in the 1850 census, (age 5), and in the 1860 Census, (age 14). The 1860 census is the last time we see Elizabeth. As such, it is likely that she either married or died before the next census was taken in 1870. Since there appears to be no surviving family tradition concerning Elizabeth, it seems likely that she died as a teenager or young adult.
Hannah Thomas (ca. 1848-1886) was the first of John & Elizabeth's children born in Pennsylvania. She married Tunis Thomas, settled in Scranton and raised a family of five children. Tunis Thomas was a private in Company H of the 76th Pa Regiment during the Civil War. He was rendered deaf by an exploding shell while fighting at Fort Fisher, North Carolina, towards the end of the war, and later received a pension for his disability. Hannah died on August 30, 1886 at age 38, and was buried in the Washburn Street Cemetery in Hyde Park. The location of her grave is not known, and no marker stands today to indicate Hannah's final resting place. Tunis Thomas died in 1913 and is buried in the Civil War veteran's section of the Dunmore Cemetery.
John J. (Drummer) Thomas (1850-1923), the namesake of his father and his grandfather, was the eldest son, and like his father was a coal miner. His wife was named Mary and they raised a family of six children initially in Hyde Park. John also worked as a fireman and later purchased and ran two hotels, the Bull's Head Inn in the community of the same name just north of Hyde Park, and later the historic Dalton House in the community of Dalton. John was known to his friends and acquaintances as "Drummer Thomas," because of his skill in playing the snare drum, which he learned in his youth.
David O. Thomas (1852-1923), married Jeannie Griffiths (1852-1914), and had eight children, only six of whom lived to maturity. Thomas and his wife are both buried at the Washburn Street Cemetery in Hyde Park.
Thomas J. Thomas (1854-1909) married Sarah Ann Davis, daughter of John and Rachel Williams Davis. They had a total of twelve children, although only six lived to maturity. Thomas Thomas was also a coal miner, starting in the profession as a boy working as a mule driver in the mines. Unfortunately, like other members of his family, Thomas was a victim of Scranton's mining industry, dying in 1909 at age 55 from complications brought on by "miner's asthma." He is buried in the Washburn Street cemetery in Hyde Park. The location of his grave is not known, and no marker stands today to indicate his final resting place.
Jeremiah Thomas (ca. 1856-1891), married Alice Fletcher, and settled initially in Hyde Park. Like his brothers, as a boy Jeremiah worked as a mule driver in the mines, and later became a full-fledged miner. Jeremiah and Alice had two daughters born in Scranton, Mary Emily (1883) and Gertrude (1885), before the family emigrated to Hamilton, Ontario in 1885, where Jeremiah became a fireman for the city of Hamilton. Unfortunately Jeremiah was killed in the line of duty on 23 Feb 1891. His wife and daughters remained in Hamilton and are buried there in Woodlawn Cemetery.
Mary Thomas (ca. 1858-?) appears to have been a daughter of John and Elizabeth, although there is no surviving family tradition about her. She appears only in the 1860 census as a two year old, and, since she is absent from all subsequent returns, it is likely that she died prior to 1870.
Hosiah "Hosie" Thomas (1862-1932) married Elizabeth Davis and raised a family of three children in Hyde Park. Hosie was also a miner, as were his son's Daniel and Harry. Tragically, both Daniel and Harry were killed in mining accidents. Daniel Thomas received the Carnegie Medal posthumously in recognition of an act of heroism during the accident that claimed his life.
William Henry Thomas (1864-1947), my great grandfather, married Mary Jane Hares and had nine children, eight living to maturity. William's life will be discussed in a later chapter.
Benjamin Franklin Thomas (1868-1925), or Frank Thomas never married and there is little tradition concerning his life, although we do know that he lived with his older brother Hosie for some time. He died in Scranton in 1925, and was the final family member buried in the family plot in the Washburn Street cemetery.
Daniel Thomas (ca. 1872-1888) was the youngest of John and Elizabeth's children. Daniel, also a mule driver in the mines, and was killed in an accident at age sixteen. He was buried in the Thomas family plot in the Washburn Street cemetery. Daniel's story is covered in more detail in a later essay.
Below: mule drivers in the mines, and young "breaker boys."
The census of 1850 is the first time our Thomas ancestors appear in U.S. census returns. Again, the returns show that John Thomas and his growing family were living in Providence Township, Luzerne County, as follows:
Name Age Place of Birth Occupation John Thomas 27 Wales Miner Elizabeth 24 Wales Elizabeth 5 Wales (H)annah 1 PA John 1/12 PA John is listed simply as miner and is not shown owning any real estate. It would be several decades before census returns listed streets and house numbers, so it's difficult to tell exactly where the family lived in 1850.
The following year on November 17, 1851, John J. Thomas signed a paper indicating his intention to become a citizen of his newly adopted homeland. John signed the document using only his mark, (X), which tells us that our ancestor could not write. This certificate of intention, provides us with a couple valuable pieces of information, including John's date of birth (May 8, 1823), his date of arrival in New York, (May 10th, 1848), and the name of the ship that brought him to America, the Ivanhoe. It was this paper, on file at the Luzerne County courthouse in Wilkes-Barre, that allowed me to find the Ivanhoe's passenger list at the National Archives in Washington D.C. in the late 1980s.
By 1854 John J. Thomas had fulfilled all the necessary requirements, and on April 3rd of that year he signed the paper that made him a U.S. citizen. He had resided within the state and county for a period of five years, (the basic requirement), had conducted himself properly, and officially renounced his allegiance to Queen Victoria of Britain. As was the case with his earlier paper of intent, John signed using only his mark. The two men who witnessed and signed our ancestor's citizenship paper were William Jones and Thomas Eynon, both recent Welsh immigrants themselves. William Jones may have been the same William Jones who traveled with John and family on board the Ivanhoe, while by 1854 Thomas Eynon was well on his way to becoming a respected leader in Hyde Park.
As for religious matters, there are indications that the Thomas family belonged to the First Welsh Baptist Church in Hyde Park. Although this familiar South Main Avenue landmark was not built until 1864, the church was founded in 1849. In 1851 the church charter was granted with 33 charter members. In 1851, Rev. John W. James became the first pastor. Before the church was built, a schoolhouse in the 14th Ward was used for worship. In 1864, a church at the present site was erected at a cost of $8,000 and was rebuilt in 1888.
By 1860 the boroughs of Hyde Park and Scranton had been formed from parts of Providence Township in Luzerne Co., Pennsylvania. The family of John J. and Elizabeth Thomas had been in America for a little over a decade and had made steady progress in raising their family and establishing themselves in their community. By this time the Thomas family had grown to seven children, although daughter Mary (b.1858), would apparently die before the next census in 1870.
The returns of 1860 again list John Thomas as a miner, this time owning real estate valued at $350.00 and personal property valued at $100.00. This piece of information tell us that John J. Thomas was making progress in his adopted country, and had managed to purchase a home within 10 years of his arrival. Again, although we know that the Thomas family home was in Hyde Park, the returns do not provide an exact address. Living with the family is a border Elizabeth Roberts, age 26, who's relationship to the family, if any, is not known.
Name Age Occupation Place of Birth John J. Thomas 37 Miner Wales Elizabeth 34 Wales Elizabeth 14 Wales Hannah 11 PA John 10 PA David 8 PA Thomas 6 PA Jeremiah 4 PA Mary 2 PA Elizabeth Roberts 26 Wales The returns indicate that Hannah, John, David, and Thomas had all attended school within the year. Although John J. Thomas himself may have been illiterate, it appears that his children received a normal education. Living next door to the Thomas family in 1860 was John Jones, his wife Caroline and their baby son John. This was probably the same John Jones who later became Elizabeth Thomas' 2nd husband. Also living just a few houses away was the family of William C. and Mary Williams, including their daughter Elizabeth. Elizabeth Williams would eventually marry George Hares, and their daughter Mary Jane would marry my great grandfather William H. Thomas.
In 1864 John J. Thomas purchased two plots of land on Hyde Park Avenue from Thomas Eynon and his wife Jane. This is the same Thomas Eynon who was present at John's citizenship ceremony 10 years earlier in 1854. The deed, dated July 16th, 1864, describes the lots, gives us their location, and names the men who owned the adjacent lots. The document also tells us that our ancestor paid $300.00 cash-in-hand for the land. The remaining language of the deed deals primarily with Thomas Eynon retaining the rights to any coal or other minerals found beneath the surface, a typical clause of mortgage documents in mineral-rich regions. A partial transcript of the deed, which is found at the Luzerne County Courthouse in Wilkes-Barre, is found below:
"This indenture made this sixteenth day of July, One Thousand Eight Hundred and Sixty Four, between Thomas Eynon of the Borough of Hyde Park in the County of Luzerne in the State of Pennsylvania, and Jane his wife, of the first part, and John J. Thomas of the Borough of Hyde Park of the second part, Witness. That the parties of the first part in consideration of the sum of Three Hundred Dollars, to them in hand paid by said party of the second part, the receipt whereof is hereby acknowledged, have granted (?) and confirmed by these presents, do grant, bargain, sell (?), release and confirm the said party of the second part and his heirs and assigns the following (land?), described as follows:Being Lots 10 and 12 and situate upon street called and known as Eynon, upon the town plot of the said addition to the said borough of Hyde Park situated to be duly recorded. Said lot being fifty five feet in (?) and one hundred and thirty feet in depth, bounded as follows: On the north by Lot number 8 and Lot number 6, the latter owned by Benjamin Daniels, on the east by Lot number 8 owned by Levi Evans, on the south by Eynon street, on the west by Lot number 4 owned by William E. Jones, containing fourteen thousand five hundred and twenty (14,520) square feet. Accepting and (releasing?) however, (to) the said Thomas Eynon, his heirs and assignees, (the rights to) all coal and minerals beneath the surface of and belonging to said lot, with the sole rights and privileges to mine and (?) the same by any subterraneous process incident to the business of mining. (?) (?) (?) in any event whatever any liability for (?) caused or damage done to the surface of said lots or to the buildings or improvements which now or hereof (?) may be part thereon. Provided that no mine or air shaft shall be intentionally opened or any mining procedure established on the surface of said premises."
(Additional clauses related to mineral-mining rights and other typical mortgage legal language follows.)
The following year on July 16, 1865, John purchased two plots in the Washburn Street cemetery from the Hyde Park Cemetery Company. Today the deed is found at the Lackawanna County Historical Society in Scranton. The plots are located in Section B, rows 24 and 25, and were purchased for a total of $10.50. John and Elizabeth are buried in one plot, while the other plot apparently contains no markers. John & Elizabeth's daughter Hannah died in 1886, followed by their son Daniel in 1888, and we know that both were buried in the Washburn Street cemetery. Since their graves are unmarked, it is possible that one or both were buried in this second unmarked plot.
In 1865, Elizabeth was joined in Scranton by her parents David and Hannah Davies and their youngest son, Hosea. Passenger records from that year indicate that in 1865 the three boarded the ship "City of Limerick" in Liverpool and landed in New York on 15 Nov 1865. They appear on page four of the City of Limerick's passenger lists, as follows:
David Davies, 61, Collier
Hannah Davies, 64?, Wife
Hosea Davies, 17, CollierThe 71-year-old Hannah and her son Hosea Davies (23, "Labourer in the Mines") appear in the 1870 census for Scranton/Hyde Park, living with the family of Thomas and Anna Thomas. Since there is no sign of David here or anywhere else in Scranton, and since the returns list Hannah as owning a modest amount of personal property, it is likely that David Davies died sometime between late 1865 and when the census was taken in 1870. In addition, given her name and age, it is possible that the Anna Thomas listed here was David and Hannah's daughter Hannah. If this is true, that means that David, Hannah, and at least three of their children (Elizabeth, Hannah and Hosea) all came to Scranton. There is no sign of either Hannah or Hosea in the 1880 census, although by this time Hannah would have been more than 80 years old. If David and Hannah Davies did die in Scranton, they were likely buried in the Washburn Street cemetery in Hyde Park, although I have yet to discover any details regarding their deaths or final resting places. The fate of Hosea Davies is less certain. Did he return to Wales? Was he killed in a mine accident in Scranton? More research is needed to answer these important questions.
In 1867-68 John J. Thomas makes his first appearance in the city directory for Scranton as a miner living on Hyde Park Avenue. He would continue to be listed in the directory every year until his death. These family records, the home purchases, the cemetery lot purchase, and the directory listings, are all an indication that John J. Thomas and his family were doing quite well in Hyde Park, and there is little doubt that John had become a respected member of his community.
Below: the official flag of Scranton Pennsylvania.
Coal, steel and electricity are the main themes of the flag.
Coal mining was the industry that drove Hyde Park, and the following were the principal mines located in and near the community. The Park Coal slope, veins "F" and "G" opened in 1845 and employed about 200 men. The heirs of W. Swetland operated the Mt. Pleasant slope which opened in 1854. The veins were called "Diamond", "Rock", and "Big", "G", and "Clark", and employed some 300 men and boys. The Hyde Park shaft, veins "G" and "F" opened in 1858 and was operated by the Delaware, Lackawanna & Western Railroad Company (the DL&W). The DL&W also operated #2 slope in Hyde Park (aka the Diamond Mines), veins "E", "F", and "G", employing about 800 men and boys. The S.T. Scranton Company opened the Oxford shaft in 1862, veins "E" and "F". These then, were the principal coal mines operating in Hyde Park, beginning in the mid-1800s. There were other mining operations in and around Scranton as well. Listings in city directories for Scranton indicate that John J. Thomas and his sons worked in Hyde Park's "Diamond" mines, owned by the Delaware, Lackawanna and Western Railroad Company. As mentioned earlier, sixteen-year-old son Daniel Thomas lost his life in the Diamond mine's "Tripp Slope" in 1888.
Follow this link for a history of Hyde Park, with an emphasis on mining and labor disputes.
Below: late 19th-centuty drawing of Hyde Park's Diamond Mines, where John J. Thomas and his sons worked.
During the Civil War, increased demand for coal brought thousands of additional miners to Pennsylvania. After post-war production levels returned to normal, most mine owners found it difficult to maintain pre-war profit margins. As a result of lower profits there were layoffs and wage cuts, which led to a series of miner strikes and riots. The most serious of these were the Miner's Strike of 1869, the strike and riots of 1870 & 1871, and the Great Riots of 1877, during which several miners were injured and killed, and army troops were dispatched to Scranton to help restore order. Although it is not known how the strikes and riots affected the Thomas family, it's safe to assume that they suffered the same hardships as other mining families in Hyde Park. Nevertheless, despite these hardships, the Thomas family continued to grow and prosper.
By 1870 Hyde Park had been incorporated into the City of Scranton, and it is here in Scranton's 4th Ward (Hyde Park) that we find the Thomas family in the 1870 returns.
Name Age Occupation Place of Birth John Thomas 48 Miner Wales Elizabeth 45 Keeping House Wales John 20 Miner PA David 18 At School PA Thomas 16 Mule Driver in Mines PA Jeremiah 14 Mule Driver in Mines PA Hosiah 11 At School PA William 6 PA Franklin 2 PA Emma Thomas 6 PA John J. Thomas is again shown as a coal miner, this time owning real estate valued at $2,500.00 and personal property valued at $800.00. The rise in real estate value from 1860 reflects the aforementioned purchase from Thomas Eynon for the lots on Hyde Park Avenue. The returns show that John and three of his sons were employed in the mining industry. Since we know that sons Hosie and Daniel also became miners that means that at least six of John's eight sons at one time worked in the mines. By 1870 daughters Elizabeth and Hannah were no longer living with their parents. Elizabeth's fate is unknown, while Hannah had already married Tunis Thomas and was busy raising her own family nearby. Sons Hosie, William, and Frank Thomas make their first appearance in the returns. Emma Thomas, who would appear again with the family in the 1880 census, was likely a niece or cousin rather than a daughter.
The 1875 city directory for Scranton lists both John J. Thomas and his son John Jr. as living on Hyde Park Avenue, with son Thomas and his family nearby on Decker's Alley. The directory listing would be the last for our ancestor.
Although his marker in the Washburn Street cemetery indicates that he died 13 Feb 1876, certain newspaper reports indicate that John J. Thomas died on 10 Feb 1876, and was buried three days later on February 13th in one of the plots he had purchased in 1865. His simple inscription reads:
John J. Thomas
Died Feb 13 1876
Aged 54 YearsHis death was mentioned in at least two local newspapers, as follows:
The Scranton Daily Times, Friday, February 11th, 1876
Deaths:
"Yesterday, John Thomas, Hyde Park Ave., died very suddenly. He was 56 years old."The Scranton Morning Republican, Saturday, February 12th, 1876
I.O.O.F
"The members of Lackawanna lodge no. 291 I.O.O.F will meet this Saturday evening at 7:30 o'clock. Arrangements will be made to attend the funeral of our late brother John J. Thomas, at 2 P.M., Sunday. Services in the Welsh church, Hyde Park, in the English language. Interment Washburn street cemetery. Members of Lackawanna lodge will meet on Sunday at 12 P.M. Sister lodges invited to attend. By order of the N.G., J.T. Howe. D.K. Kressler, secretary."In addition, the following notice also appeared in the same column.
Business Notice
"I.O.O.F. The members of the Lackawanna Lodge No, 291 are requested to attend a meeting of the lodge this Saturday evening at 7:30 o'clock, in Fuller's Hall, to make arrangements to attend the funeral of our late brother, John J. Thomas. Punctual attendance is requested. By order of the N.G. D.K. Kressler, R.S."There are several conclusions that we can make using the above reports. Since the entry from February 11th states that John J. Thomas "died very suddenly," we can all but rule out a mining accident or a lingering illness as our ancestor's cause of death. The now confirmed date of death of 10 February also fits with the estate calendar entry for a John J. Thomas found in the courthouse in Wilkes-Barre (Luzerne county), which incorrectly lists his date of death as 1875 rather than 1876 (same day and month). Finally, the entries reveal that John J. Thomas was a member of Hyde Park's founding Odd Fellows lodge, 291, and was apparently held in high regard by this organization.
Burial records for the Washburn Street cemetery available at the Genealogical Research Society of Northeastern Pennsylvania (GRSNP), in Peckville, near Scranton, reveal the other family members buried in the Thomas plot. In addition to John J. Thomas (d.1876) the family plot includes son Daniel (d.1888), who was killed in a mining accident at the age of 16, wife Elizabeth (d.1896), and son Benjamin Franklin (d.1925).
In 1880 the widowed Elizabeth Thomas remarried John E. Jones, (mentioned above), himself a recent widower, and Elizabeth's underage children became part of the Jones household. We can determine the date of Elizabeth's second marriage as follows. The Scranton city directory for 1879/80 shows that Elizabeth "widow John" was living with her son John Jr. and his family at their home on Hyde Park Avenue, however in the 1880 census, taken in early June, she is listed as the wife of the aforementioned John E. Jones.
The 1880 census shows us that the Jones family lived in the 2nd ward of Scranton rather than the 4th (Hyde Park). In the census John E. Jones is listed as the head of the family, Elizabeth is listed as his wife, and her children, Hosie Thomas, Frank Thomas, and Dannie Thomas, are listed as John's stepsons. The census also tells us that John occupation was "Saloon Keeper".
1880 Census, City of Scranton, 2nd Ward:
Name Relation Age Place of Birth Occupation John E. Jones Self 44 Wales Saloon Keeper Elizabeth Jones Wife 50 Wales Keeping House John E. Jones Son 20 PA Coal Miner Hosie Thomas Step-son 20 PA Coal Laborer Frank Thomas Step-son 12 PA At School Dannie Thomas Step-son 8 PA At School Emma Thomas Other 17 PA Servant John T. Thomas Other 50 PA Coal Miner Edward Lewis Other 40 PA Plasterer The Emma Thomas listed above is likely the same Emma Thomas who was 7 years old and living with the family of John and Elizabeth Thomas in the 1870 census. The fact that she is listed here as being of no relation to John J. Jones, all but proves that she was not John and Elizabeth's daughter. It is not known if the 50-year-old John Thomas living with the Jones family was in any way related to our Thomas family. This information only recently discovered (2003) answers several key questions about what happened to Elizabeth and her children following the death of her first husband. It also reestablishes an undocumented chapter in Thomas family history with its own set of interesting questions. One of these questions is why 16-year-old son William Thomas is absent from the Jones household. There is a William Thomas in the 1880 census living in Scranton's 1st Ward, working as an apprentice blacksmith and living with the family of Owen Farry. Although this individual could be our William, more research is necessary for confirmation.
It appears that John and Elizabeth had several residences during the next three years. In 1880, 1881 and 1882, John E. Jones is listed by Scranton city directories as a hotel proprietor living at three different locations, however, by 1883 he and Elizabeth had settled into a small house (duplex) at 508 North Hyde Park Avenue. By then it appears that John had ended his career as a hotel/saloon keeper. In the 1883 directory he is listed simply as a laborer, and for the remainder of the 1880s he listed as a miner. Therefore, with John Jones, we appear to have a case of a Welshman trying, but ultimately failing, to make the transition from miner to successful businessman. John and Elizabeth Jones remained at 508 North Hyde Park Avenue, for the rest of the decade, however in late 1889, John contracted typhoid and died of "typhoid pneumonia" on December 26, 1889, at the age of 56 years, and was buried at the Washburn Street cemetery in Hyde Park. Elizabeth was again a widow, having lost her first husband, John J. Thomas, at age fifty-four, and her second husband John E. Jones at age fifty-six.
Following the death of her second husband, the widowed Elizabeth remained at her home on North Hyde Park Avenue, but in November of 1894 she married her third husband, Isaac B. Morgans, a machinist from Wales who's first wife, Letitia, had died in 1885. The marriage certificate of Isaac and Elizabeth is found at the Lackawanna County courthouse in Scranton, and provides several useful pieces of information. The certificate indicates that Elizabeth remarried under the name Elizabeth Thomas, rather than Jones. This seems curious, given that she was married to John Jones for ten years. Elizabeth also names David and Hannah Davies as her parents. This confirms information from Elizabeth's 1844 marriage certificate to John J. Thomas, naming David Davies as her father, and confirms Elizabeth's listing in the household of David and Hannah Davies in 1841 census for Brynmawr. Finally, the certificate also provides the date of death for Elizabeth's second husband, John E. Jones.
Again, city directories show that Isaac moved in with Elizabeth at 508 North Hyde Park Avenue, where the couple lived in 1895 and 1896. The marriage of Isaac B. Morgans and Elizabeth Thomas, however, lasted less than two years, as Elizabeth contracted hepatitis and died July 21, 1896 at her home on North Hyde Park Avenue. After Elizabeth's death, Isaac Morgans moved in with his daughter at 1212 Eynon Street, where he died on 29 August 1899 at the age of 71 years.
I discovered a detailed obituary for Elizabeth in June of 2003.
The Scranton Republican, Wednesday Morning, July 22, 1896Mrs. Elizabeth Morgan, wife of Isaac B. Morgan, died last evening about 8 o'clock at her home, 508 North Hyde Park Avenue. Deceased was born in Bryn Mawr 68 years ago. She had been sick for some time, and last night succumbed to a complication of diseases. She is survived by the following children, all of whom are residents of this city: John, Dave, Hosea, Tom and Frank. Funeral announcement will be made later.
Two other obituary notices followed in the next few days, the first giving the details of the funeral, and the second reporting on the actual funeral, as follows:
The Scranton Republican, Thursday Morning, July 23, 1896The funeral of the late Mrs. Isaac B. Morgan will take place Friday afternoon at 2 o'clock from her late home, 508 North Hyde Park avenue. The body will then be conveyed to the First Welsh Baptist church on South Main avenue, where services will be conducted. Interment to be made in Washburn street cemetery.
The Scranton Republican, Saturday Morning, July 25, 1896
Services over the remains of Mrs. Isaac B. Morgan were held yesterday afternoon at the First Welsh Baptist church. Rev John Evans of the Westerly R.I., officiated, and spoke very pathetically of the deceased. Interment was made in the Washburn street cemetery. The Pall bearers were B. Hughes, Thomas Howell, James A. Evans and Evan P. Davis.The three notices testify to Elizabeth's standing in the church and in the community, and provides some important details regarding her life. The first notice states Elizabeth's place of birth in Wales, and names her surviving sons, while the second and third notices confirm that Elizabeth was a member of the First Welsh Baptist Church in Hyde Park. Elizabeth was buried in the Washburn Street cemetery with her first husband John J. Thomas. Her name and date of death are carved on the same stone as John's, although curiously the inscription reads, "Elizabeth Morgans, wife of Isaac B. Morgans, Died July 21, 1896, Aged 69 Years". Although Elizabeth had been buried with her first husband, it appears that somebody wanted to make sure people knew about Elizabeth's final marriage. Isaac Morgans died three years later in 1899 and is buried with his first wife in the Washburn Street Cemetery.
With the death of Elizabeth, our Thomas immigrant ancestors were finally at rest. John and Elizabeth Thomas had arrived in Hyde Park/Scranton at the exact moment when the region began experiencing tremendous growth and prosperity, and the record shows that the Thomas family shared in that prosperity. Our ancestors worked hard, established themselves in their community, raised a family, purchased property, and were no doubt a well-known Hyde Park family. The children and grandchildren of John and Elizabeth Thomas continued the family tradition of coal mining, a dangerous occupation that claimed the lives of at least one son (Daniel), and possibly two (Jeremiah), as well as grandsons Daniel and Harry Thomas. The family survived the difficult and turbulent years following the Civil War, when strikes and riots threatened their community, and overcame the premature death of John who died with several underage children still at home. From their humble beginnings in Wales, John and Elizabeth Thomas succeeded in creating a new life for themselves and their family in America, and today their descendants can justifiably take pride in their accomplishments.
Jeffrey L. Thomas
Revised 2003
jltbalt1@verizon.netBelow: The grave of John J. Thomas and his wife Elizabeth Davis, Washburn Street Cemetery:
Postscript: The Thomas Family and it's Breconshire Roots
In October of 2003 I identified my Thomas ancestors in the 1841 census of Brynmawr, Breconshire, Wales. Unfortunately, rather than listing each individual's place of birth, the 1841 census indicates only if an individual was born in the county where they resided. For the Thomas family the 1841 census lists all family members as being born in Breconshire.
By the time the next census was taken in 1851, John Sr., the patriarch of the family, had died, and his widow and children had emigrated to America. The question then remains, where was the Thomas family from in Breconshire? There are several possibilities including the most obvious answer, Brynmawr. Although it is possible that John Sr., born in the early 1790s, was from Brynmawr, we must remember that prior to 1800 Brynmawr was just a small hamlet with relatively few people. It wasn't until the first decades of the 19th century that workers began streaming into the region to find work at the nearby ironworks at Clydach and Nantyglo. Still, the 1851 census lists a Thomas Thomas as being born in Brynmawr in 1794, so the surname is found in the town prior to 1800.
However, historians tell us that Brynmawr's first wave of industrial immigrants, who arrived in the early 19th century, came from regions of Breconshire to the north and west of Brynmawr (Jennings), a fact that is confirmed by the 1851 census. In that year, of the 12 Thomas heads of households listed as being born in Breconshire, only four were from Brynmawr or nearby, while the other eight were from regions to the north and west (Cathedine (2), Cwmdu, Defynnog, Pencelli, Llansanffraid and Brecon). That means that if John Thomas Sr. was not from Brynmawr, he was likely among those early in-county immigrants mentioned by Jennings and others who arrived in Brynmawr prior to 1820.
Jeffrey L. Thomas
Revised February 2012Continue with the next generation, William Henry Thomas
Discovering the Origins of the Thomas Family in Wales
Return to the Brynmawr-Scranton connection page
History of Brynmawr, Wales
Photo essay of Brynmawr and surrounds
Learn about two of John's contemporaries in Hyde Park, Benjamin Hughes and Thomas Eynon
Visit the prominent Welshmen of Scranton page
History of Hyde Park, with an emphasis on mining and labor disputes
Learn more about the family of Elizabeth Davis
Return to the Brynmawr, Wales pages
Return to the main page at the Thomas Family Web Site
![]()
Web site copyright © by Jeffrey L. Thomas, with all rights reserved
e-mail: jltbalt1@verizon.net